Standardfehler
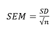
Der Standardfehler (SEM; engl. standard error of mean) gibt die theoretische Streubreite der Daten an. Der SEM ist abhängig von der Größe der Stichprobe und wird mit zunehmender Stichprobengröße kleiner.
Der Standardfehler (SEM; engl. standard error of mean) gibt die theoretische Streubreite der Daten an. Der SEM ist abhängig von der Größe der Stichprobe und wird mit zunehmender Stichprobengröße kleiner.